Choose the Definition That Best Describes This Term Aria
Click the play button to listen to the audio sample. What does -aria mean.
Sustainability Free Full Text Sustainable Sport Entrepreneurship And Innovation A Bibliometric Analysis Of This Emerging Field Of Research Html
What is another name for non-traditional sports.
. Which term best describes greek religion. Organize your music quick check. Choose the definition that best describes this termAria.
An aria is a solo vocal piece usually found in an opera or oratorio. Identify the musical term for that describes what the bass line is playing in the listening example. Choose the role that best describes the function of.
The definition of an aria is a song that is a melody for a solo voice with an instrumental accompaniment that is often performed in an opera. Lilly Allen is taking this assessment. In a classic rondo form the A section is repeated several times while interspersed with other sections Bs and Cs.
Terms in this set 10 Which phrase best describes an opera. Choose the definition that best describes this termAria. Which type of texture do you hear from the following audio sample.
Which term best describes greek religion. Although the spec says nothing about the term. In a classic rondo form composers generally try to achieve some contrast between sections and use different keys.
Select the correct definition for recitative a. Choose the definition that best describes this termAria. An elaborate lyrical song for solo voice.
The harmony of the aria is based on a chromatic blank that descends by half step. The definition of a role is as follows. 1 point monophonic polyphonic homophonic quadraphonic 2.
The term pedal point describes a note usually in the bass sustained or continually repeated for a period of time while the harmonies change around it. What is the correct definition for recovery heart rate. Which musical element would help move the opera along.
The best term that best describes Greek is ancient. When is the ideal time to take a resting heart rate. A libretto is the set of lyrics to an opera.
Choose the definition that best describes this termAria. An element should not have multiple ARIA roles. It can but not always be a solo performance by a singer who may be accompanied by other musicians on various instruments.
What is the definition that best describes the term libretto. A musical figure motive melody harmony or rhythm that is repeated again and again. It is a formalized song often highly structured and full of repetition that is designed as much to display the virtues of the singer as to enhance the narrative.
A production that integrates music dance sets and costumes to enhance the telling of a story. An example of a well known aria is. The Italian word aria simply means air as any linguistically curious visitor to an Italian petrol station will have discovered.
Which phrase best describes an aria. Which style of. What is the texture of this music.
What definition best describes the term aria. Choose the definition that best describes this term. The rhythm of the blank is free and the rhythm of the blank is more regular.
What is the best term that describes the inner aspect of the ankle. A song usually of a highly emotional nature a kind of musical declamation or speech the textscript of an opera an orchestral introduction aria recitative libretto overture. This means it is very old and they worship many Gods.
Its in the 16th century that we first find it used in connection with song. It is a melody or tune. I need the whole test plz.
Choose the definition that best describes this term. A solo voice piece in an opera with a strong melody. Choose the definition that best describes this term.
An aria in an opera is a set-piece song for a solo singer in which the character expresses an emotion or ideal that doesnt necessarily drive the story forward. The best term that best describes Greek is ancient. A dramatic work in which the actors sing some or all of their parts.
Audio sample unable to play. Information and translations of -aria in the most comprehensive. This means it is very old and they worship many Gods.
Match each definition to the genre it best describes. Choose the correct definition of timbre. Medial Malleolus is the best term that describes the inner aspect of the ankle.
Drag and drop the appropriate words to best describe Didos Lament in Purcells Dido and Aeneas. 1 point volume level of the music speed or pace of the music layers of sound and combination of voices unique sound quality of an instruments voice 3.
Pdf Pretrained Transformers For Text Ranking Bert And Beyond
20 F 1 Tm2115442d1 20f Htm Form 20 F United
Jtaer Free Full Text Portuguese And Spanish Dmos Accessibility Apps And Websites Html
Pdf Expanded Access Programme Looking For A Common Definition
Stylistic Characteristics Of Specific Keyboard Genres As Determined By Piano Professors In The United States
The Roles Model Accessible Rich Internet Applications Wai Aria 1 0
The Intelligent Plant The New Yorker
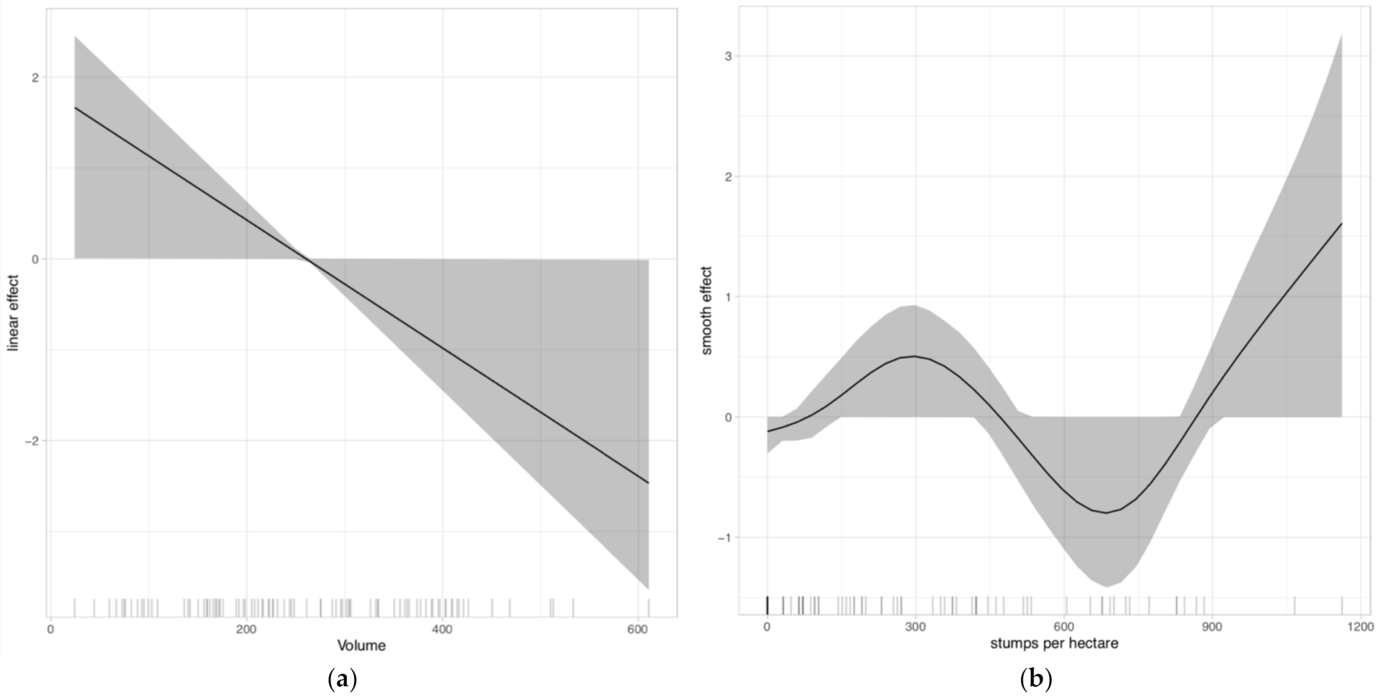
Forests Free Full Text Assessing Forest Structural And Topographic Effects On Habitat Productivity For The Endangered Apennine Brown Bear Html
Pdf Environmental Impacts Of Construction In Building Industry A Review Of Knowledge Advances Gaps And Future Directions
Pdf Bayesian Solutions For The Factor Zoo We Just Ran Two Quadrillion Models

Comments
Post a Comment